PROJECT, DESIGN AND MANAGEMENT

ISSN: 2683-1597

How to cite this article:

Vilchez-Gutierrez, J.B. & Alvarez-Risco, A. (2020). Success Factors of MSMEs in the Health Sector, City of Huancayo - Peru, 2020. Project, Design and Management, 2(2), 59-78. doi: 10.29314/pdm.v2i1.522

SUCCESS FACTORS OF MSMES IN THE HEALTH SECTOR, CITY OF HUANCAYO - PERU, 2020

Joel Benedicto Vílchez Gutiérrez
International Iberoamerican University (Peru)
joel.vilchezg@hotmail.com

Aldo Álvarez-Risco
University of Lima (Peru)
aralvare@ulima.edu.pe https://orcid.org/0000-0003-0786-6555

Fecha de recepción: 18/08/2020 / Fecha de revisión: 27/09/2020 / Fecha de aceptación: 04/12/2020

Abstract. Introduction: The concept of business success is broad and there is no consensus on its measurement. The most widespread trend is to use financial indicators such as profitability, productivity and sales growth. In the city of Huancayo, Peru, at the beginning of 2020, there are 381 MSMEs (micro, small and medium-sized companies) in the health sector. The objective of the investigation was to determine the factors for the success of the MSMEs in the Health Sector of the city of Huancayo, using an econometric model. Methodology: The hypotheses to demonstrate were that the source of financing, strategic planning and the use of ICTs, management training, innovation, the application of a quality program, dedication to business and advertising on social networks have an effect significant in the success of these companies. The investigation was non-experimental explanatory, developing an econometric model using the multiple linear regression method. The dependent variable was numerical, the dichotomous qualitative independent variables (dummies). The universe was considered for the study (census). Results: The econometric model obtained an R2 = 0.463 (it is close to a statistically good value) and a significant F, it also fulfilled the linear regression assumptions, thus being validated. Discussion: For this model, the source of financing, strategic planning and the use of ICTs, managerial training, innovation, dedication to business and advertising on social networks were significant for the model. However, the application of a quality program was not statistically significant, therefore, it was discarded from the model.

Keywords: factors, business success, MSMEs, health sector.

Factores de Éxito de Mipymes del Sector Salud, Ciudad de Huancayo – Perú, 2020

Resumen. Introducción: El concepto sobre éxito empresarial es amplio y no existe consenso sobre su medición. La tendencia más extendida es utilizar indicadores de tipo financiero como la rentabilidad, productividad y crecimiento de ventas. En Huancayo, Perú, a inicios de 2020, existen 381 Mipyme’s (micro, pequeñas y medianas empresas) del sector salud. El objetivo de la investigación fue determinar los factores para el éxito de las Mipyme’s del Sector Salud de la ciudad de Huancayo, usando un modelo econométrico. Metodología: Las hipótesis a demostrar fue que la fuente de financiamiento, la planificación estratégica y el uso de TIC´s, la formación gerencial, la innovación, la aplicación de un programa de calidad, la dedicación al negocio y la publicidad en redes sociales tienen un efecto significativo en el éxito de estas empresas. La investigación fue explicativa no experimental, desarrollándose un modelo econométrico mediante el método de regresión lineal múltiple. La variable dependiente fue numérica, las variables independientes cualitativas dicotómicas (dummies). Para el estudio se consideró al universo (censo). Resultados: El modelo econométrico obtuvo un R2 = 0.463 (cercano a un valor estadísticamente bueno) y un F significativo, cumplió además con los supuestos de regresión lineal, siendo así validado. Discusión: Para este modelo, la fuente de financiamiento, la planificación estratégica y el uso de TIC´s, la formación gerencial, la innovación, la dedicación al negocio y la publicidad en redes sociales, resultaron significativas para el modelo. Sin embargo, la aplicación de un programa de calidad no resultó estadísticamente significativa, por tanto, fue descartada del modelo.

Palabras clave: factores, éxito empresarial, Mipymes, sector salud.


Introduction

The success or performance of the company is a broad and heterogeneous concept and there is no clear consensus in the literature regarding its form of measurement (Estrada, García, & Sánchez, 2009). The most widespread trend is to use financial indicators such as profitability, productivity and sales growth. The studies that can identify the behavior of the determinants of the success of MSMEs may serve as guidance to achieve an adequate consolidation of these businesses, business success and the economic benefit of their owners. The health sector, at present, is one of the areas that is being developed the most in the private service company. Huancayo has become an attractive place for this type of company. By identifying the success factors for the micro, small and medium enterprises of the health sector of the city of Huancayo, theoretical approaches would be provided for their progress, which may have better profitability, greater probability of survival and avoid their failure. The objective of the thesis was to determine the factors for the success of the MSMEs of the Health Sector of the city of Huancayo, by means of an econometric model. For this, factors were taken into consideration as the source of financing, strategic planning and the use of ICTs by the company, managerial training, innovation, the application of a quality of care program, dedication to the business of the entrepreneur and social media advertising. (Rocca, 2017).

MSMEs

The term MSMEs involves three different types of companies: micro, small and medium, and they constitute approximately 99.6% of formal businesses that exist in Peru; although they are included within the same category, each one has its own characteristics, which differentiate them from other business models (Certus, 2019).

Microenterprises

One of the main criteria used to differentiate the types of companies is the average annual sales. Microenterprises should not exceed 150 UIT for this concept (UIT = Peruvian Tax Unit, according to the Peruvian Tax Code, it is a reference value that can be used in tax regulations, among others); likewise, they are characterized by having between 1 to 10 workers on the payroll. Many family businesses adopt this business model, since, in principle, it does not require a very large capital investment (Certus, 2019). For this reason, they constitute good development opportunities and are becoming increasingly important within the economy. One UIT is equivalent to S/. 4,300 ($ 1,228.50) in 2020.

Small enterprises

A small company in Peru receives between 150 and 1,700 UIT in terms of annual sales. The number of workers can vary from 1 to 100. Some businesses that are usually included in this category are medium-sized restaurants, hairdressers, veterinarians and hardware stores. Currently, in Peru there are more than 50,000 small companies, which are undoubtedly an important source of job creation (Certus, 2019).

Medium enterprise

Finally, the medium-sized company differs by having annual sales greater than 1,700 UIT and less than 2,300 UIT. Given that they operate with a greater number of workers, it can be said that it is a much more complex business model, in which a more sophisticated level of organization is required (Certus, 2019).

Business Success

Rocca (2017, p. 58), in a study carried out in Peru, cites that:

  • The success or performance of the company is a broad and heterogeneous concept and there is no clear consensus in the literature regarding its form of measurement (Estrada, García, & Sánchez, 2009). The most widespread trend is to use financial indicators such as profitability, productivity and sales growth; however, these measures have the difficulty that companies are reluctant to share this type of information. For some authors, performance measured qualitatively can show more objectively the profitability of the company (Zahra, Neubaum, and Naldi, 2007; Okamuro, 2007).

Previous studies

In the research work carried out by Rocca (2017), the following findings were reported:

There are factors that constitute important implications for different entities linked to the business environment. In this research on the success factors of MSMEs, this variable was measured as a level of performance using a 5-point Likert scale (1 = total disagreement and 5 = total agreement) to define whether the company compared to its competitors: a) is growing more; b) is more profitable; and c) is more productive. To verify the reliability of this scale, Cronbach's alpha was determined, which obtained a value of 0.779. The results showed that MSMEs that have more developed management control systems in place and that apply more efficient human resource management practices, the greater the probability of being successful in the market. The results are especially useful for the managers of the MSMEs and the organizations that promote MSMEs so that they can design and promote strategies and policies that favor the growth and competitiveness of the MSMEs.

In the study carried out by Vílchez (2016), the following results and conclusions were reached:

That economic development, more than being a phenomenon of economic growth, includes aspects such as income distribution, health, food, housing and others. According to various authors, the microenterprise generates economic development. If this is successful, the family of the microentrepreneur reaches greater development. The hypothesis to be demonstrated was that financing through financial entities and the formalization of microenterprises, as well as management training, entrepreneurship, business spirit and dedication to the business of the microentrepreneur, favor the economic development of the families of the microentrepreneurs in Huancayo. The research was of a non-experimental explanatory type, developing two econometric models using the multiple linear regression method. The sample was 379 microentrepreneurs. The econometric model, about the determinants of economic development, obtained an R2 = 0.57 (statistically good) and a significant F, also met the assumptions of linear regression, thus being validated. For this model, management training, formalization, entrepreneurship, business spirit and dedication to the business were statistically significant; however, the source of financing did not turn out to be of the importance that a priori was raised.

Rivera (2016), cites that:

Today's world is characterized by the globalization of markets, the internationalization of economies, accelerated technological development, rapid changes and the flexibilization of labor relations. The results of the research specified the most important variables of the data series collected to carry out the analysis of the profile of the Ambato entrepreneur and the determining factors of his survival. Five characteristics framed in competencies were identified: individual psychological, collective psychological, cognitive, axiological and environmental factors, as characterization variables of Ambato entrepreneurs.


Method

Design

For the present study, an econometric model was formulated through the multiple linear regression method; which allows investigating the relationship between several independent variables with a dependent one. A mixed, descriptive and explanatory investigation was carried out. The research design was non-experimental. The proposed econometric model was the following:

Variables

The dependent variable (Y) was of a quantitative type and the independent variables (xj) were of a qualitative nominal dichotomous type (dummies), assigning the value of 1 when the factor is present and 0 when it is absent.

The Success of the MSME, which was a quantitative interval variable, was measured through the entrepreneur's appreciation of the performance of the MSME, considering three aspects (dimensions): growth, profitability and productivity. For the rating of each dimension, the 5-point Likert Scale (1 = poor development, 2 = fair development, 3 = good development, 4 = very good development and 5 = excellent development) was used for each dimension. The success of the company was measured by the total sum score of each dimension.

The independent variables were:

Source of financing for MSMEs

The sources of financing of the company are the ways that the company uses to obtain the necessary financial resources to pay for its activity. The sources of financing will be the channels used by the company to obtain funds. (Andrade, 2017).

Strategic planning of MSMEs

Strategic planning is the management process that allows organizations to define and establish the objectives to be achieved, as well as the activities that will be carried out to achieve them. (Pérez, 2016).

Use of ICTs

ICTs (Information and Communication Technologies) refer to the group of technological advances that have been developed to manage information and share it from one place to another (Pacheco, 2017)

Management training of the entrepreneur

Necessary tools for the design and application of them in an organized, planned and sustained process in the approaches, an effective system and objective of performance evaluation (Sierra, 2016).

Innovation

It is the degree to which a social system in advance uses an idea among a group of similar social systems. Innovation is thus considered the condition of being of an organization, the first to produce a new product. (Garzón e Ibarra, 2014).

Implementation of a Quality Program in MSME Attention

Adequate performance (according to the norms) in the interventions considered safe, that are available to the societies in question and that have the capacity to produce an impact on mortality, morbidity, disability and malnutrition. (Forrellat, 2014).

Dedication to the entrepreneur’s business

It refers to the proportion of daily time that the business is active; it can be part-time or full-time, morning and afternoon.

Advertising of services through social networks

Online advertising continues to be one of the fastest growing areas of marketing along with video marketing and content management for websites. This is because more and more users are replacing traditional entertainment and information media to choose to find what they need on the Internet. (Chunga, 2019)

Hypothesis

The general hypothesis was: The source of financing, strategic planning and the use of ICTs by the company, managerial training, innovation, the application of a quality of care program, dedication to the business of the entrepreneur and advertising in social networks they have a significant effect on the success of MSMEs in the health sector of the city of Huancayo.

Participants

Health establishments (medical offices, medical centers, polyclinics, clinics, medical support services) were selected from the private sector that were registered in the National Registry of Healthcare Providers (RENIPRESS), entity of the National Superintendence of Health, as of January 2020. In the city of Huancayo, 381 establishments are registered.

The establishments found in the three representative districts of the city were identified: Huancayo Cercado, El Tambo and Chilca. As there is not a very wide area, a census will be carried out, that is to say, an investigation with the complete region.

Instrument

A structured survey of business owners was conducted. The survey had a first (descriptive) section, through which the general data of the entrepreneurs and the general information (intervening variables) of the MSMEs were collected under the following detail: general information about the entrepreneurs (age, gender, grade instruction, number of dependents, marital status) and general information about the companies (seniority, classification, size).

The second section of the survey collected information on the independent variables and the dependent variable, which were used to estimate the model. This second part contained the following variables: MSME financing source, MSME strategic planning, use of ICTs, managerial training of the entrepreneur, innovation, implementation of the MSME Service Quality Program, dedication to the business of the entrepreneur and advertising of services through social networks.

Analysis of data

For the general information sections, related to the intervening variables (descriptive evaluation of the characteristics of entrepreneurs and companies), analysis of the frequencies of the variables will be used, using the Excel software package.

  • Age of the employer : frequency distribution
  • Gender of the employer : frequency distribution
  • Age of the company : frequency distribution
  • Marital status : frequency distribution
  • Dependent number : frequency distribution
  • Annual company income : frequency distribution
  • Type of healthcare center : frequency distribution
  • Category of the healthcare center : frequency distribution

Whereas, for the analysis of the relationship between the explanatory (independent) and the explained (dependent) variables, with which the econometric model (single-equation, linear, static type) was estimated; a multiple regression analysis was performed using SPSS version 24 software package.

For the evaluation of the model, the Pearson correlation coefficient was used, estimating the relationship between the independent and dependent variables, the coefficient of determination, and the goodness of fit of the regression equation.

To test the General Hypothesis, the ANOVA regression test was used to estimate whether the independent variables jointly contribute information to the explanation of the dependent variable. For the testing of the Specific Hypotheses, the significance tests, t-tests and their critical levels were used.

For the verification of the econometric model, it was shown that it fulfilled the following assumptions:

  • Linearity, run partial regression analysis for each of the independent variables. The graph of each partial regression was evaluated.
  • Independence, information on the degree of independence between the independent variables. The Durbin-Watson statistic was used.
  • Homoscedasticity, the hypothesis of homoscedasticity establishes that the variability of the residuals is independent of the explanatory variables. The plot of predicted values versus squared residuals was examined.
  • Normality, the degree to which the standardized residuals approximate a normal distribution. The Kolmogorov-Smirnov Test and graphical tests were used.
  • Non-collinearity, they report on how many different dimensions or factors underlie the set of independent variables used. The review of the collinearity diagnosis eigenvalues was used.

Results

General Results

The MSMEs of the health sector of the city of Huancayo in 2020, are directed mostly by young and middle-aged adults, between 31 and 50 years old (63.25%); male (64.83%); married marital status (46.19%) and have a family consisting of three to four members (55.91%). The majority of the companies have been in operation for 6 and 10 years, representing the 53.28%. Most of them correspond to outpatient clinic type health establishments; and the vast majority of them generate income of up to 150 UIT (S/.0 - S/.630,000) reaching 86.61%; income range that corresponds to the microenterprise classification.

The 74.80%, of the MSMEs of the health sector in the city of Huancayo in 2020, accessed financing through a variety of financial instruments (banks and municipal savings and credit banks). Therefore, bank loans are the most important form of financing in this sector. The 68.77% have formulated some type of Business Plan or Strategic Plan. Entrepreneurs, to a greater extent, have taken the initiative to implement strategic management actions in their companies. The 36.48% are using some type of Information and Communication Technology in health facilities.

The 32.02%, the owners of MSMEs of the health sector in the city of Huancayo in 2020, stated that they have some type of management training, be it training in planning, marketing or other business management topics. Most of the MSMEs of the health sector in the city of Huancayo in 2020 (67.19%), stated that they develop a service with a new approach or characteristics different from their competition. Most of the MSMEs of the health sector in the city of Huancayo in 2020 (64.57%), stated that they develop quality plans or programs.

Slightly more than half of the owners of MSMEs in the health sector in the city of Huancayo in 2020 (58.79%), expressed that they dedicate themselves full time to their business. In particular, in the case of doctors, they usually work in two or three institutions simultaneously (one of them, generally in a public institution).

Only a third (33.86%) of the MSMEs in the health sector in the city of Huancayo in 2020 use social networks such as Facebook, WhatsApp, and Twitter to advertise their companies.

Regarding the size of the growth of the company, none of the owners of MSMEs of the Health Sector of the city of Huancayo, believed that the company had a terrible growth. 0.52% (2 cases) believed that the growth experienced was bad.

Meanwhile, 22.83% (87 cases) of those surveyed stated that growth was regular; while 61.15% (233 cases) believed that the growth of the company was good; and 15.49% (59 cases) rated it as very good. Regarding the dimension of the company's profitability, no one thought that the company had a terrible profitability. The 6.04% (23 cases) believed that the profitability experienced was bad.

On the other hand, 26.25% (100 cases) of those surveyed stated that profitability was regular; while 54.86% (209 cases) believed that the profitability of the company was good; and 12.86% (49 cases) rated it as very good. Regarding the productivity dimension of the company, no one thought that the company had a terrible productivity. The 3.94% (15 cases) believed that the productivity experienced was bad.

It was also found that 24.67% (94 cases) of the respondents stated that productivity was regular; while 50.13% (191 cases) believed that the productivity of the company was good; and 21.26% (81 cases) rated it as very good.

By adding the scores of each of the three previous components, the following result was obtained. The 0.52% (2 cases) obtained a final score of 6 points, 3.41% (13 cases) of 7 points, 2.10% (8 cases) of 8 points, 6.82% (26 cases) of 9 points, 16.01% (61 cases) of 10 points, 12.60% (48 cases) of 11 points, 27.30% (104 cases) of 12 points, 18.90% (72 cases) of 13 points, 7.35% (28 cases) of 14 points; and 4.99% (19 cases) reached the maximum score on the rating scale, 15 points. See figure 1.

Figure 1. Assessment of the success of companies, MSMEs in the Health Sector, Huancayo, 2020.

Econometric model formulation

Model Development

Using the SPSS V 24 application, the multiple regression analysis was processed, taking the success of MSMEs as a dependent variable and independent of the source of financing, strategic planning, use of ICTs, business training, innovation, quality plan, dedication to business and advertising through social networks. Through this analysis, the following results were obtained.

Then it was proceeded to the analysis of the significance of each of the independent variables. The following hypothesis test was applied for each independent variable (xj):

H0: βj = 0; H1: βj ≠ 0; critical level (sig.) = 0.05

If sig. βj < 0.05 then the null hypothesis is rejected (See table 1.)

Table 1
Regression coefficients of the Econometric Model of the Success of MSMEs in the Health Sector, Huancayo, 2020

Model Non-standardized coefficients Standardized coefficients t Sig.
B Standard error Beta
(Constante) 9,051 ,189 47,925 ,000
Finan ,422 ,170 ,098 2,484 ,013
SP ,405 ,173 ,101 2,339 ,020
ICTs ,377 ,170 ,097 2,212 ,028
Traini ,850 ,178 ,212 4,774 ,000
Innov 1,526 ,164 ,384 9,304 ,000
Quali ,024 ,160 ,006 ,149 ,882
Dedic ,563 ,151 ,148 3,722 ,000
Netwo ,363 ,166 ,092 2,192 ,029

Nota: a. Dependent variable: Ext_Emp

Table 1 shows that the variables source of financing, strategic planning, use of ICTs, business training, innovation, quality plan, dedication to business and advertising through social networks, obtained a significance lower than 0.05. Therefore, the null hypothesis is rejected and the alternative hypothesis is accepted. It is concluded then that these variables are significant for the model.

On the other hand, for the Quality Program variable, the significance value was 0.882. This value, being greater than 0.05, would make the null hypothesis accept. Therefore, this variable is not significant for the model as expected a priori.

In the model, we should consider eliminating the Quality Program variable and performing a new multiple regression analysis with the other seven independent variables that were significant.

The quality plan variable is now excluded. Through this analysis, the following results were obtained, see table 2.

Table 2
Regression coefficients of the Econometric Model of the Success of MSMEs in the Health Sector, Huancayo, 2020 (corrected version).

Model Non-standardized coefficients Standardized coefficients t Sig.
B Standard error Beta
(Constante) 9,057 ,183 49,387 ,000
Finan ,422 ,170 ,098 2,488 ,013
SP ,411 ,169 ,102 2,439 ,015
ICTs ,378 ,170 ,097 2,222 ,027
Traini ,849 ,178 ,212 4,778 ,000
Innov 1,532 ,158 ,385 9,693 ,000
Dedic ,563 ,151 ,148 3,731 ,000
Netwo ,364 ,165 ,092 2,201 ,028

Nota: a. Dependent variable: Ext_Emp

Using the values found, the equation of the estimated regression line is as follows:From this equation, the following is deduced:

  • In the event that the MSME of the Health Sector of the city of Huancayo resorted to a loan granted by a financial institution, the company's success rating score would increase by 0.422 units.
  • If it has a Strategic Plan or Business Plan, the company's success rating score would increase by 0.411 units.
  • If it has an Information and Communication Technology system for its activities, the company's success rating score would increase by 0.378 units.
  • If the employer has a managerial training degree or course, the company's success rating score would increase by 0.849 units.
  • If the MSMEs offered new services or a different approach to those of the competition (innovation), the company's success rating score would increase by 1.532 units.
  • In the event that the owner of the MSME devotes himself full time to his business, the company's success rating score would increase by 0.563 units.
  • In the event that social networks such as Facebook or WhatsApp are used for advertising, the company's success rating score would increase by 0.364 units.

From the evaluation of the standardized coefficients, which establish the relative importance of each of the variables, it could be deduced that the three most important determinants for the model are: innovation (standardized coefficient 0.385), managerial training of the entrepreneur (standardized coefficient 0.212) and dedication to the business (standardized coefficient 0.148).

Goodness of fit

The coefficient of determination, also called R-squared, reflects the goodness of fit of a model to the variable that it intends to explain. In the present model, an R2 of 0.473 was obtained. Therefore, it is established that the qualification of the Success of the MSMEs of the Health Sector of the city of Huancayo in 2020, can be explained by 47.30% by the independent or explanatory variables considered in the model. See table 3.

Table 3
Coefficient of determination of the Econometric Model of the Success of MSMEs in the Health Sector, Huancayo, 2020

Model R R-squared Ajusted R-squared Standard error of the estimate
1 ,688 ,473 ,463 1,370

Note : a. Predictors: (Constant), Reds, Finan, Dedic, Innov, ICTs, PE, Form

Regression testing

Using SPSS V24, the following results were obtained for the regression model contrast. See table 4.

Table 4
Regression testing (ANOVA), Econometric Model of the Success of MSMEs in the Health Sector, Huancayo, 2020

Model Sum of squares gl Root mean square F Sig.
1 Regresión 628,757 7 89,822 47,890 ,000
Residuo 699,595 373 1,876
Total 1328,352 380

Note: a. Dependent variable: Ext_Emp

b. Predictors: (Constant), Netwo, Finna, Dedic, Innov, ICTs, SP, Traini

We proceeded to verify that the independent variables contribute information jointly to the explanation of the dependent variable. For this purpose, the following approach is used to contrast hypotheses:

H0: β1 = β2 = β3 = β4 = β5 = β6 = 0

H1: some βj ≠ 0; critical level (sig.) = 0.05

If sig. F < 0.05 then the null hypothesis is rejected

As observed in table 4, the sig. of the F obtained is 0.000. Therefore, the null hypothesis is rejected, the alternative hypothesis is accepted. It is concluded that all the independent variables (source of financing, strategic planning, use of ICTs, business training, innovation, dedication to the business and advertising through social networks) jointly and linearly influence the MSMEs Success rating of the Health Sector of the city of Huancayo in 2020.


Model check

Assumption of Linearity

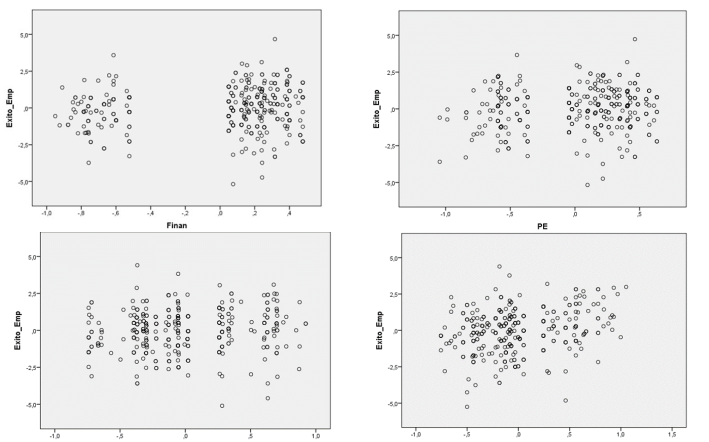
Partial regression diagrams give you a quick idea of the form a relationship takes. They allow us to examine the relationship between the dependent variable and each of the independent variables separately, after eliminating from them the effect of the rest of the independent variables (Pardo and Ruiz, 2015). See figure 2.

Figure 2 Partial regression, Success of the companies and independent variables. Econometric Model of the Success of MSMEs in the Health Sector, Huancayo, 2020.
Source: Survey. Processed by SPSS V.24

According to Velarde (2010), taking into account the graphic representation when X adopts two unique values, it is observed as two vertically aligned series of points that represent the variability of Y for each of the values ​​of X, it can be said that the line constitutes a good representation to join both series, representing the change suffered in the estimated Y as a function of the change (from 0 to 1 - from one category to another-) in X. When observing the partial regression graphs of financing source, management training, formalization and dedication to the business precisely the behavior of two series aligned vertically is observed. On the other hand, in the case of entrepreneurship and business spirit, a linear trend of positive slope is observed. Therefore, the linearity assumption holds.

Assumption of Independence

The Durbin-Watson statistic provides information on the degree of independence between them. The DW statistic oscillates between 0 and 4, and takes the value 2 when the residuals are independent. We can assume independence when it takes values between 1.5 and 2.5 (Pardo and Ruiz, 2015). A value of 1,676 was obtained for the Durbin Watson statistic, it can be established that the proposed Econometric Model complies with the independence assumption. See table 5.

Table 5
Durbin Watson Statistic, Econometric Model of the Success of MSMEs in the Health Sector, Huancayo, 2020.

Model R R-squared Ajusted R-squared Standard error of the estimate Durbin-Watson
1 ,688a 628,757 ,473 ,463 1,370 1,676

Note:a. Predictors: (Constant), Netwo, Finna, Dedic, Innov, ICTs, SP, Traini

b. Dependent variable: Exito_Emp

Source: Survey. Processed by SPSS V.24.

Assumption of Homoscedasticity

The Linear Regression procedure in SPSS has a series of graphs that allow obtaining information on the degree of compliance with homoscedasticity assumptions. The homoscedasticity hypothesis establishes that the variability of the residuals is independent of the explanatory variables (Pardo and Ruiz, 2015). In Figure 3, generated by SPSS, it is observed that no association is found between the variation of the residuals and the values of the forecasts. Therefore, the assumption of homoscedasticity is fulfilled.

Figure 3. Scatter plot of typified forecasts by typified residuals. Econometric Model of the Success of MSMEs in the Health Sector, Huancayo, 2020.

Assumption of Normality

For this analysis, the Kolmogorov-Smirnov test was used for the standardized residues of dependent variable; which raises the following hypotheses:

H0: remainders of group i are normal

H1: remainders of group i are not normal

If the p-value > 0.05 we cannot reject the null hypothesis and therefore we assume that the assumption of Normality is fulfilled. The sig. obtained was 0.003 (less than 0.05); therefore, the null hypothesis is rejected and the normality assumption for the model would not be fulfilled. In this situation, where the simple Kolmogorov-Smirnov test is contradictory, it is advisable to carry out the graphical test, where we can “graphically” observe whether the data of our variable are normally distributed or not (Romero-Saldaña, 2016). Using SPSS, a histogram of the typified residuals was generated with a superimposed normal curve (see figure 4). In this graph, there is an accumulation of cases in the central part of the curve and a slight asymmetry towards the left tail. The distribution of the residuals, thus, the model fits the normal probability curve.

Figure 4. Standardized residual histogram. Econometric Model of the Success of MSMEs in the Health Sector, Huancayo, 2020.
Source: Survey. Processed by SPSS V.24.

Assumption of Non-Collinearity

The diagnosis was made to determine the non-collinearity between the independent variables of the model. In this assessment, the eigenvalues are evaluated, which inform about how many different dimensions or factors underlie the set of independent variables used. The presence of several eigenvalues close to zero indicates that the independent variables are closely related to each other (collinearity). In conditions of non-collinearity, these indices should not exceed the value 15. Values greater than 30 indicate the presence of collinearity (Pardo and Ruiz, 2015).

It is observed that all the eigenvalues are different from zero and that the condition indexes are less than 15. Thus, the econometric model complies with the assumption of non-collinearity. See table 6.

Table 6
Collinearity diagnosis. Econometric Model of the Success of MSMEs in the Health Sector, Huancayo, 2020

Dimension Eigenvalue Condition index Variance proportions
(Constante) Finan SP ICTs Traini Innov Dedic Netwo
1 5,550 1,000 ,00 ,01 ,01 ,01 ,01 ,01 ,01 ,01
2 ,669 2,881 ,02 ,02 ,00 ,14 ,29 ,04 ,02 ,08
3 ,515 3,283 ,00 ,01 ,01 ,25 ,00 ,01 ,00 ,70
4 ,368 3,883 ,00 ,00 ,06 ,28 ,46 ,00 ,24 ,15
5 ,327 4,119 ,01 ,08 ,02 ,17 ,22 ,01 ,61 ,02
6 ,256 4,660 ,00 ,07 ,12 ,07 ,00 ,80 ,06 ,01
7 ,208 5,170 ,00 ,44 ,65 ,06 ,01 ,02 ,00 ,03
8 ,108 7,164 ,96 ,37 ,12 ,01 ,01 ,11 ,07 ,01

Note: a. Dependent variable: Exito_Emp

It is concluded that the proposed econometric model meets the five linear regression assumptions. Therefore, it is considered valid.

Hypothesis testing

Being the econometric model for this hypothesis:

Note: the quality program variable is excluded in this contrast, as it was not significant.

For a linear regression, it is taken into account that Hypothesis testing:

H0: β1 = β2 = β3 = β4 = β5 = β6 = 0

H1: some βj ≠ 0

Critical level (sig.) = 0.05

If sig. F < 0.05 then the null hypothesis is rejected

Then for the model:

Like the sig. of the F obtained is 0.000, therefore, the null hypothesis is rejected and the alternative hypothesis is accepted. In addition, the R2 found was 0.463, a value that would indicate an acceptable explanation of the dependent variable by the considered independent variables.

Therefore, the validity of the general hypothesis proposed for the present thesis is verified (the original econometric model having been corrected after the exclusion of the variable "quality program").

The corrected version of the general hypothesis would be: “The source of financing, strategic planning and the use of ICTs by the company, management training, innovation, dedication to the business of the entrepreneur and advertising on social networks have a significant effect on the success of MSMEs in the health sector of the city of Huancayo.”


Discussion

The econometric model of the Econometric Model of the Success of MSMEs in the Health Sector, Huancayo, 2020; it met the assumptions of linearity, independence, homoscedasticity, normality and non-collinearity, therefore, it is considered valid. However, the model was corrected, because on the first occasion that the analysis was carried out using the SPSS application, the independent variable of “Quality plan or program” was rejected as it was not statistically significant. Only the other seven variables were maintained: the source of financing, strategic planning, the use of ICTs by the company, management training, innovation, dedication to the business of the entrepreneur and advertising on social networks.

Regarding the test for goodness of fit for this model, an adjusted R2 of 0.463 was reached, which means that the seven factors considered in the econometric model (the source of financing, strategic planning, the use of ICTs by the company, management training, innovation, dedication to the business of the entrepreneur and advertising on social networks) explain 46.3% of the success of MSMEs in the health sector of the city of Huancayo, Peru. Therefore, this model can be considered as regular, because according to the theory, an R2 that is between 0.5 and 0.85 is classified as good. There is still 53.7% of the phenomenon that are not explained by these variables. Therefore, this proposed model should be considered as exploratory and in future research, expand a greater number of explanatory variables to consider.

In this econometric model, the success of MSMEs in the health sector of the city of Huancayo was considered as a dependent variable, which in turn was made up of three dimensions: growth, profitability and productivity. For each of them, the response was assessed using the 5-point Likert Scale (1 = total disagreement and 5 = total agreement), which, adapted for the present research work, was established with the following format: 1 = Terrible, 2 = Bad, 3 = OK, 4 = Good and 5 = Very Good. The sum of the qualification of each one of the dimensions made the score of the qualification of the success of the MSMEs. The rating was granted by the entrepreneurs themselves. This instrument was based on a similar one used by Vílchez (2017) and Rocca (2017), who also used a rating system like the one developed in the present research work; although, in these two cases cited, the instrument was used for companies in general and not for a sector as specific as health.


Conclusion

  • The proposed general hypothesis was verified, which establishes that, the source of financing, strategic planning and the use of ICTs, management training, innovation, application of a quality program, dedication to business and advertising on social networks; they intervene in the success of MSMEs in the health sector of the city of Huancayo.
  • Of these variables, the source of financing, strategic planning, use of ICTs, management training, innovation, dedication to the business and advertising on social networks, turned out to be statistically significant, therefore, better related to the success of MSMEs in the sector health in Huancayo.
  • On the other hand, the application of a quality program, as it is not statistically significant, would not be related to the success of the company as expected.
  • Therefore, the econometric model had to be corrected, excluding the non-significant independent variable. Thus, the corrected hypothesis was the following: the source of financing, strategic planning and the use of ICTs, management training, innovation, dedication to business and advertising on social networks; they have a significant effect on the success of MSMEs in the health sector of the city of Huancayo.
  • The econometric model met the assumptions of multiple linear regression. This model, therefore, it can be considered as valid.

References

Andrade, A. (2017). Fuentes Financieras. Universidad Tecnológica de Panamá

Altamirano, J. (2017). Influencia de las fuentes de financiamiento en el desarrollo de las Mypes de la feria Balta – Chiclayo 2017. Perú: Universidad Señor de Sipán.

Barahona, J. (2016)Fuentes de financiamiento bancario y su influencia en las Pymes, sector industrial de Guayaquil. Universidad de Guayaquil.

Bernal, J. y Leo, E. (2017). Factores críticos para el desarrollo exitoso de los centros odontológicos. Caso: Tacna (Perú).3C TIC: Cuadernos de desarrollo aplicados a las TIC, 42-53.

Certus Instituto Empresarial (2019). ¿Qué significa Mipymes?. Retrieved from https://www.certus.edu.pe/blog/que-significa-Mipymes/

Chunga, M. (2019). 6 tipos de publicidad en internet que todo negocio debe utilizar. Retrieved from https://blog.impulse.pe/6-tipos-de-publicidad-en-internet-que-todo-negocio-debe-utilizar

Estrada, D. (2016). Innovación y competitividad en las microempresas (pymes). Caso de estudio parroquia de Conocoto.Ecuador: Universidad de las Fuerzas Armadas.

Forrellat, M. (2014). Calidad en los servicios de salud: un reto ineludible. Revista Cubana Hematología, Inmunología y Hemoterapia, 30(2), 179-183

Garrido, E. (2017). Factores de competitividad de las pymes andaluzas. España: Universidad de Huelva.

Garzón, M. e Ibarra, A. (2014). Innovación empresarial, difusión, definiciones y tipología.Revista Dimensión Empresarial, 11 (1), 45-60.

González, J. (2015).Innovación y tecnología, factores claves de competitividad empresarial. Una mirada desde lo local.Revista Lebret, 7103-124.

Juan, A. (2016). El Social Media Marketing en Salud: el presente y el futuro de la comunicación online en redes sociales. Retrieved from http://www.pmfarma.es/articulos/2001-el-social-media-marketing-en-salud-el-presente-y-el-futuro-de-la-comunicacion-online-en-redes-sociales.html

Pacheco, L. (2017).Tecnologías de Información y Comunicación (TICs) y la gestión Hospitalaria en el Hospital Nacional Hipólito Unanue, El Agustino, 2016. Tesis de Maestría en Gestión Pública. Universidad César Vallejo, Perú.

Pardo, A.; Ruiz, A. (2015). Análisis de datos con SPSS 13 BaseEditorial Mc Graw-Hill.

Pérez, O. (2016). 6 Consejos para la planeación estratégica de tu empresa. Retrieved from https://blog.peoplenext.com.mx/6-consejos-para-la-planeacion-estrategica-de-tu-empresa#:~:text=La%20planeación%20estratégica%20es%20el,un%20rumbo%20a%20la%20empresa.

Rivera, P. (2016). El emprendimiento y la creación de empresas. Etapas y factores clave de éxito. España: Universidad Rey Juan Carlos.

Rocca, E. (2017).Los factores del éxito competitivo y la problemática del acceso a la financiación: un estudio empírico de las Mipymes en el Perú.Colombia: Universidad Politécnica de Cartagena.

Rodríguez, G. (2016). Tecnologías de la Información y las Comunicaciones (TIC) como factor determinante del éxito competitivo en micro, pequeña y mediana empresa (MIPYME). doi: 10.13140/rg.2.1.2386.3924

Romero-Saldaña, M. (2016). Pruebas de bondad de ajuste a una distribución normal.Revista Enfermería del Trabajo, 6(3), 105-114.

Sánchez, J. (2017).Direccionamiento Estratégico en las pymes. Colombia: Universidad Militar de Nueva Granada.

Sesmero, E. (2005). ¿Importan realmente las TIC para el éxito empresarial? Retrieved from https://www.gestiopolis.com/importan-realmente-tic-exito-empresarial/

Sierra, A. (2016).Formación de competencias gerenciales que permitan la creación de nuevas empresas. Tesis de Especialista en Alta Gerencia. Universidad Militar Nueva Granada, Colombia.

Soler, D. (2014). Emprender a tiempo parcial. Retrieved from https://www.davidsoler.es/emprender-a-tiempo-parcial/

Valdez, L. (2017). La Gestión del Conocimiento y las TIC, su efecto en la innovación y en el rendimiento de la Pyme: Un estudio empírico.Colombia: Universidad Politécnica de Cartagena.

Velarde, A (2010). Regresión con variables cualitativas. Retrieved from https://personal.us.es/avelarde/analisisdos/Regresiondicotomica.pdf

Vílchez, J. (2017). Impacto de los Microcréditos en el Desarrollo Socioeconómico de familias propietarias de microempresas, Huancayo, Junín, 2016. Perú: Universidad Inca Garcilaso de la Vega.