PROJECT, DESIGN AND MANAGEMENThttps://www.mlsjournals.com/Project-Design-ManagementISSN: 2683-1597 |
|
Como citar este artículo:
Gómez Bravo, J. L., Cruz Ramales, S., Rosado García, M. O., Tzompantzi Sánchez, A., & de los Santos Bañuelos, G. (2023). Modelación de la cinética de reacción para la producción de polihidroxialcanoatos microbianos mediante Bacillus megaterium. Project, Design and Management, número monográfico, 89-105 . 10.35992/pdm.mo2023.1886.
MODELACIÓN DE LA CINÉTICA DE REACCIÓN PARA LA PRODUCCIÓN DE POLIHIDROXIALCANOATOS MICROBIANOS MEDIANTE BACILLUS MEGATERIUM
José Luis Gómez Bravo
Universidad Tecnológica de Puebla (México)
jose.gomez@utpuebla.com.mx · https://orcid.org/0000-0002-7601-2230
Silvia Cruz Ramales
Universidad Tecnológica de Puebla (México)
silvia.cruz@utpuebla.com.mx
María Oneida Rosado García
Universidad Tecnológica de Puebla (México)
oneida.rosado@utpuebla.com.mx ·
https://orcid.org/0009-0001-1774-7720
Alejandro Tzompantzi Sánchez
Universidad Tecnológica de Puebla (México)
alejandro.tzompantzi@utpuebla.com.mx · https://orcid.org/0009-0009-8994-5118
Germán de los Santos Bañuelos
Universidad Tecnológica de Puebla (México)
german.delossantos@utpuebla.com.mx · https://orcid.org/0009-0005-3028-7027
Resumen. La producción de poli-(3-hidroxibutirato) PHA por Bacillus. megaterium depende exclusivamente de la concentración de la fuente de carbono (glucosa), por lo que se propone utilizar modelos matemáticos de simulación para la cinética aplicada en la producción de polihidroxialcanoatos microbianos. Las bacterias pueden aislarse del humus de la lombriz roja californiana, y para el crecimiento de biomasa se utiliza un modelo logístico que incluye un factor de inhibición y una constante asociada al mantenimiento celular. En la cinética de formación de producto se propone el modelo de Leudeking-Piret, donde el coeficiente de formación del producto depende del crecimiento celular y la constante asociada al mantenimiento celular, ambas están determinadas por el pH de la fermentación, y corresponden al crecimiento asociado y no asociado respectivamente. El modelo para consumo de sustrato considera que las células lo metabolizan para crecimiento, síntesis de producto y generación de energía, así como para actividades de control de pH interno e intercambio de componentes celulares. Se plantea ecuaciones de cinética para estimar resultados experimentales de este caso de estudio basadas en los modelos logístico, de Leudeking-Piret y de consumo de sustrato, para determinar los valores de los rendimientos de biomasa y de producto, en función al sustrato utilizado en la estequiometria de la producción de PHA. La siguiente etapa contempla la aplicación de la espectrofotometría UV-Vis para estimar el crecimiento celular en Unidades Formadoras de Colonias (UFC) y su comparación con la escala de McFarland para cuantificar de forma equivalente el número de células bacterianas.
Palabras clave: Modelos cinéticos, Bacillus, megaterium, biopolímero.
MODELING REACTION KINETICS FOR THE PRODUCTION OF MICROBIAL POLYHYDROXYALKANOATES BY BACILLUS MEGATERIUM
Abstract. The production of poly(3-hydroxybutyrate) PHA by Bacillus. megaterium depends exclusively on the concentration of the carbon source (glucose), so it is proposed to use mathematical simulation models for the kinetics applied in the production of microbial polyhydroxyalkanoates. Bacteria can be isolated from Californian red worm humus, and a logistic model including an inhibition factor and a constant associated with cell maintenance is used for biomass growth. For product formation kinetics, the Leudeking-Piret model is proposed, where the product formation coefficient depends on cell growth and the constant associated with cell maintenance, both of which are determined by the fermentation pH, and correspond to associated and non-associated growth, respectively. The model for substrate consumption considers that cells metabolize substrate for growth, product synthesis and energy generation, as well as for internal pH control activities and exchange of cellular components. Kinetic equations are proposed to estimate experimental results of this case study based on the logistic, Leudeking-Piret and substrate consumption models, to determine the values of biomass and product yields, depending on the substrate used in the stoichiometry of PHA production. The next stage contemplates the application of UV-Vis spectrophotometry to estimate cell growth in Colony Forming Units (CFU) and its comparison with the McFarland scale to quantify equivalently the number of bacterial cells.
keywords: Kinetic models, Bacillus megaterium, biopolymer
Introducción
Los animales y plantas poseen substancias de reserva de distinta naturaleza química que los proveen de materia y energía para la realización de numerosas funciones, este tipo de reservas también existen en los microorganismos y los proveen endógenamente de energía y carbono para procesos específicos como el mantenimiento del pH interno, regulación osmótica y esporulación (Anderson, 1990; Dawes, 1973). Una forma de acumulación intracelular de sustancias de reserva entre muchos géneros bacterianos de los más diversos tipos, es la formación de polímeros compuesto de unidades de hidroxiácidos: los Polihidroxialcanoatos (PHA’s). En la mayoría de las especies bacterianas los PHA’s están localizados en gránulos intracelulares que se pueden visualizar al microscopio óptico por tinción con los colorantes específicos Negro Sudán (Smibert, 1981) y Azul del Nilo (Ostle, 1982).
El Bacillus megaterium es un tipo de bacteria Gram-positiva en forma de bacilo, principalmente de metabolismo aeróbico, que forma esporas y se encuentra en una gran variedad de hábitats, alcanza entre 1,5 y 3 μm de diámetro y hasta 5 m de longitud (Holt, 1994) , es una de las bacterias más grandes conocidas. Sus células suelen aparecer en pares o cadenas, crece a temperaturas entre 3 ° C y 45 ° C, con un óptimo alrededor de 30 ° C, en algunos aislamientos de un lago hidrotermal antártico crecen a temperaturas de 63 ° C.
Se considera un endófilo (vive como un endosimbio de plantas sin causar daño) y es un agente potencial para el control de enfermedades de las plantas. Se ha demostrado que ciertas cepas se pueden usar para fijar el nitrógeno. Produce la enzima amidasa de penicilina utilizada para producir penicilina sintética, varias amilasas utilizadas en la industria de panadería y la deshidrogenasa de glucosa (enzima utilizada en las pruebas de glucosa en sangre). Además, se utiliza para la producción de piruvato , vitamina B12 , medicamentos con propiedades fungicidas y antivirales , etc. Produce enzimas para modificar los corticosteroides y varios aminoácidos deshidrogenasas. Produce poli-γ-ácido glutámico, la acumulación del polímero aumenta considerablemente en ambientes salinos (2-10% de NaCl ), en los cuales el polímero está formado en gran parte por L-glutamato (el contenido del isómero L es de hasta el 95%). Al menos una cepa de B. megaterium puede considerarse halófila, ya que crece en concentraciones de hasta un 15% de NaCl. Se puede encontrar esta especie en los suelos, agua de mar y sus sedimentos, cáscaras de arroz, alimentos secos y leche, a lo largo de todas las latitudes del planeta.
Esta bacteria es muy versátil debido a que, sumado a su arsenal de enzimas usuales para todos los microorganismos Gram positivos, posee otros tipos de enzimas infrecuentes para su género; esto le brinda una gran plasticidad metabólica, que se traduce en una notable facultad de supervivencia en diversos medios y nichos ecológicos (Rao, 2019). Su capacidad para metabolizar diferentes compuestos rivaliza con el género Pseudomonas. (Vary, 1992). El compuesto de reserva más importante en esta especie es el poli(3—hidroxibutirato) (PHB), que se acumula en condiciones limitantes de nitrógeno, fosfatos, azufre o potasio (Slepecky, 1961).
Mundialmente más del 30% de los desechoscorresponden a plásticos derivados del petróleoque generan toxinas y no son biodegradables. Los polihidroxialcanoatos (PHA´s)son biopolímeros que representan una solución a la contaminación ambiental por plásticos sintéticos, ya que provienen de una síntesis orgánica biológica y por consecuencia su degradación es rápida, puede ser en un tiempo moderado máximo de 9 meses (Bailey, 1986; Verlinden, 2007).
En esta propuesta se asume que la producción de PHB por B. megaterium depende exclusivamente de la concentración de glucosa. En virtudde que la variable velocidadespecífica de crecimiento, dependede la biomasa del microorganismo involucrado, para la generación estequiométrica de producto es fundamental evaluar la velocidad de reproducción del mismo.
El sistema de fermentación de la glucosa en el metabolismo microbiano está integrado por tres reacciones diferentes que ocurren de forma simultánea, para este trabajo se propone un modelo cinético para el consumo de sustrato (glucosa), uno más para el crecimiento de la biomasa (células bacterianas de Bacillus megaterium.) y finalmente otro para la producción de PHA´s. Se estima teóricamente la viabilidad de la síntesis del biopolímero bajo parámetros controlados tales como pH, oxígeno disuelto y temperatura. El objetivo del presente trabajo propone tres modelos matemáticos de simulación para la cinética de reacción.
El crecimiento de las células se obtiene por el producto de las interacciones entre las reacciones bioquímicas y los fenómenos de transferencia de materia y energía a través de diversas etapas comprendidas en sistemas. La mezcla de células nuevas y viejas sufre cambios constantes durante el proceso de desarrollo representado por una curva de crecimiento, mientras se adapta a un medio ambiente con variaciones permanentes de las condiciones físicas y químicas. En virtud de la dificultad que existe para modelar exactamente la cinética de crecimiento, se debe hacer algunas suposiciones orientadas a obtener modelos simples para el diseño, la operación y la predicción del comportamiento en los procesos de fermentación. El modelo no estructurado es el más sencillo y comúnmente empleado, y se basa en las siguientes implicaciones: las células pueden ser representadas por un componente simple tal como número de células, masa celular o la concentración de proteínas, ácido desoxirribonucleico (ADN) o ácido ribonucleico (ARN); la población bacteriana tiene una distribución uniforme; la suspensión de células es homogénea; no se contempla la naturaleza heterogénea de las células y la concentración celular se expresa como masa de células en base seca por unidad de volumen; el medio se formula de manera que solo un componente sea el limitante de la velocidad de reacción; los demás componentes están presentes en concentraciones lo suficientemente altas para evitar el efecto de cambios pequeños sobre la velocidad de reacción; el reactor biológico se controla para garantizar un nivel constante de condiciones ambientales adecuadas (González, 2013).
La cinética microbiana se analiza con relación en la formulación de modelos de crecimiento no estructurados. Los modelos más sencillos del crecimiento bacteriano o también llamados modelos no estructurados, están declarados en términos de unidades abstractas de vida, es decir, se orientan al término biomasa dejando a un lado los organelos que conforman a las células que a su vez integran dicha biomasa; en términos prácticos se considera a la población microbiana como una unidad homogénea. Aunque estos modelos proponen ecuaciones sencillas en virtud de que se estima al microorganismo como una especie reactante elemental, son válidos para aplicaciones con objetivos tecnológicos.
Estos tipos de modelos responden a la representación mostrada en la Figura 1, donde se representa el consumo de sustrato por los microorganismos, tanto para su reproducción, como para la generación de productos, y explica al mismo tiempo los conceptos de respiración endógena y energía de mantenimiento (Kim D., 2007).
Los modelos no estructurados contemplan los parámetros involucrados en la ruta cinética microbiana, como por ejemplo crecimiento de biomasa, consumo de sustrato y formación de producto.
Figura 1
Reacción simplificada para el modelo no estructurado
Nota. Tomado de (Kim D., 2007)
Método
Los modelos no estructurados son adecuados cuando los microorganismos poseen una composición celular próxima al estado estacionario; cuando hay cambios en la composición celular, estos proporcionan en la mayoría de los casos una pobre aproximación a la realidad. Si los modelos no estructurados no son capaces de reflejar la influencia de ciertas variables como la composición del medio se deberá considerar cambios en la estructura interna del microorganismo y en casos muy complejos solo éstos serán capaces de explicar la evolución del cultivo.
Para el estudio del comportamiento cinético de la biomasa, sustrato y producto en la producción de biopolímeros, se consideró el caso de estudio reportado en Modelamiento matemático y optimización del proceso de producción de polihidroxialcanoatos empleando la bacteria Burkholderia cepacia B27 a partir de ácidos grasos (Suriyamongkol P., 2007), donde se realizaron ensayos durante 77 horas de reacción.
La Tabla 1 muestra los datos de las concentraciones para biomasa (X), sacarosa (S) y producto (P), obtenidas durante el seguimiento cinético del caso referido.
Tabla 1
Concentración de biomasa (X), sacarosa (S) y producto (P)
|
t (h) |
Concentración X (g/L) |
Concentración S (g/L) |
Concentración P (g/L) |
|
|
|||
| 0 | 1.46 | 20 | 0.22 |
| 6 | 1.83 | 19.56 | 0.58 |
| 11 | 3.19 | 17.94 | 1.47 |
| 23 | 5.7 | 14.94 | 4.34 |
| 30 | 7.17 | 13.19 | 6.02 |
| 35 | 11.23 | 8.34 | 8.68 |
| 47 | 13.54 | 5.59 | 13.08 |
| 53 | 15.91 | 2.75 | 14.88 |
| 59 | 15.08 | 3.74 | 14.19 |
| 71 | 15.09 | 3.73 | 14.32 |
| 77 | 15.4 | 3.36 | 13.2 |
Nota. Tomado de (Khalseh, 2016)
La fórmula empírica más usada para la fracción orgánica de las células es C5H7O2N. La formulación C600H87O23N12P puede ser usada cuando el fósforo es también considerado. Ambas formulaciones son aproximaciones y pueden variar.
Para soportar el crecimiento microbiano en los sistemas biológicos, los nutrientes apropiados deben estar disponibles. Las células procariotas están compuestas de aproximadamente 80% de agua y 20% de material seco, del este último el 90% es orgánico y el 10% es inorgánico.
Considerando que la composición de las células procariotas está formada de aproximadamente 80% de agua y 20% de material seco, de este último el 90% es orgánico y el 10% es inorgánico (Almudena, 1999), se obtiene la formula C10H21O3N2; para la biomasa, esto se muestra en la Tabla 2.
Tabla 2
Composición típica porcentual de una bacteria
| Elementos celulares | Porcentaje de peso seco (%) |
|
|
|
| Carbono | 50 |
| Oxígeno | 22 |
| Nitrógeno | 12 |
| Hidrógeno | 9 |
| Fósforo | 2 |
| Azufre | 1 |
| Potasio | 1 |
| Sodio | 1 |
| Calcio | 0.5 |
| Magnesio | 0.5 |
| Cloro | 0.5 |
| Fierro | 0.2 |
| Otros elementos traza | 0.3 |
Nota. Tomado de ( Metcalf & Eddy, 2005).
Entonces para un mol de sustrato y en el caso particular glucosa (C6H12O6), la reacción estequiométrica involucrada en la producción del biomonómero de PHB, así como la de polimerización se muestran en las ecuaciones 1 y 2 respectivamente.
La generación del biopolímero PHB (C4H6O2) n depende del crecimiento o desarrollo de la biomasa (C10H21O3N2), que a su vez es función de la concentración del sustrato (C6H12O6), como se observa en la ecuación 3.
donde:
a = Coeficiente másico de la cantidad de fuente de nitrógeno consumido/sustrato consumido.
b = Coeficiente másico de la cantidad de oxígeno consumido/sustrato consumido.
YX/S Coeficiente másico de rendimiento de biomasa/sustrato consumido.
YP/S Coeficiente másico de rendimiento de producto/sustrato consumido.
Y co2/S Coeficiente másico de la cantidad de CO2 liberado/sustrato consumido.
w = Coeficiente másico de la cantidad de agua producida/sustrato consumido.
El coeficiente YX/S es una función de la cantidad de sustrato disponible inicial, así mismo de los nutrientes y condiciones de operación o parámetros ambientales.
El coeficiente YP/S es una función de la cantidad de biomasa generada y la capacidad de la bacteria para la producción y acumulación del biopolímero, que depende proporcionalmente del grado de estrés al que se puede someter la bacteria, debido al cambio en la concentración del nutriente seleccionado como reactivo limitante, siempre y cuando la bacteria no se encuentre en la fase endógena.
El modelo matemático propuesto para describir el proceso tiene en cuenta una entrada y una salida en el biorreactor, comportándose como un sistema de agitación continua (CSTR). El esquema del proceso, así como la nomenclatura de las corrientes, se presenta en la Figura 2.
Figura 2
Esquema de un CSTR para un proceso fermentativo
Nota. Tomado de (Khalseh, 2016).
La reacción llevada a cabo en el reactor se puede expresar de la forma 4:
S + X → P + X (4)
donde:
S = Sustrato.
X = Biomasa.
P = Concentración de producto.
El balance de materia global para el sistema de la Figura 2 viene dado por 5 (Khalseh, 2016):
Entrada - Salida + Generación = Acumulación (5)
Considérese el sistema presentado en la Figura 2 donde solo hay una entrada y una salida.
Para el proceso en un reactor por lotes (batch) se debe considerar que no existen entradas ni salidas, por lo tanto, el comportamiento para el volumen de reacción constante en el balance para la biomasa, toma la forma de la ecuación 6.
Generación = Acumulación (6)
La producción fermentativa de PHA normalmente se opera como un proceso de alimentación por lotes de dos etapas ( Metcalf & Eddy, 2005). Una fase inicial de crecimiento en un medio enriquecido nutricionalmente produce suficiente biomasa, seguida de una fase de formación del producto en un medio pobre en nitrógeno. Las fermentaciones de un solo lote alimentado que están limitadas por nitrógeno conducen a bajas cantidades de polímero, porque no hay suficiente acumulación de biomasa (Katırcıoǧlu H., 2003). La producción de PHA en cultivos puros está limitada por un nutriente externo. Cuando las células se exponen a un medio con muy pocas cantidades de nutrientes durante mucho tiempo, las bacterias se alteran fisiológicamente (Daigger, 1982). El aumento repentino de las concentraciones de sustrato de carbono hace que la célula cambie su fisiología nuevamente. Como la síntesis de PHA requiere menos adaptación que el crecimiento, el cultivo comienza a producir polímero, este tipo de fermentación se conoce como decaimiento endógeno. (Días J., 2005; Lemos P., 2006).
La cinética de crecimiento microbiano, el consumo de sustrato y la formación de productos, se formulan rutinariamente en términos de ecuaciones que conducen al acoplamiento entre las tazas asociadas como por ejemplo en el caso de las ecuaciones:
Por consiguiente, a menudo no es posible encontrar soluciones analíticas a estas ecuaciones por lo que se recurre a menudo de forma útil a técnicas de solución numérica.
El crecimiento microbiano por lotes se caracteriza por dos regiones, la de crecimiento exponencial donde se muestra en la ecuación 10 y la del crecimiento estacionario dX/dt = 0. No es infrecuente que la región de transición entre estas dos regiones cinéticas de tazas de crecimiento dependientes del sustrato ocupe entre 10% y 20% o menos del tiempo total de fermentación. En consecuencia, para muchas fermentaciones por lotes, se dispone de un enfoque más sencillo como una ecuación que toma una forma de crecimiento autónomo, es decir, dX/dt = f' (X).
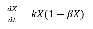
Para el crecimiento de biomasa se utiliza un modelo logístico, por loque la ecuación que describeadecuadamente la velocidadde crecimiento de ésta, se muestraen la ecuación de Monod (10).
donde:
dX/dt = Velocidad de crecimiento celular (M/L3 t).
μ = Velocidad de crecimiento específica (t-1).
k = Factor de inhibición (t-1).
X = Concentración de biomasa (M/L3).
Xmax = 1/β = Concentración máxima de biomasa (M/L3).
Combinando 10 y 11 se tiene12, conocida como ecuación de Riccati
La formación de producto se da en toda la fase de crecimiento celular y se expresa en la ecuación 13.
donde:
α Coeficiente de formación del producto
β Constante asociada al mantenimient
La velocidad de consumo de sustrato es dada por 14.
donde:
Yx/s= Rendimiento real de biomasa respecto al sustrato.
Yp/s= Rendimiento real de producto respecto al sustrato.
ke= Coeficiente de mantenimiento en [gS / gX h].
En el crecimiento de biomasa X se utiliza el modelo logístico, que presenta la ecuación 12. Este modelo incluye un factor de inhibición k [h-1] y una constante asociada al mantenimiento celular β [g P / g X h]. La resolución del modelo (ecuación 15) se emplea para encontrar los valores de las constantes en las expresiones de velocidad.
donde:
Xs = Concentración de biomasa en fase estacionaria obtenido de una gráfica de X vs t
Para la cinética de formación de producto P se propone el modelo de Leudeking-Piret (ecuación 13), donde las constantes ∝ y 𝛽 están determinadas por el pH de la fermentación, y corresponden al crecimiento asociado y no asociado de este parámetro, respectivamente. Al integrar 13, se obtiene 16.
El consumo de sustrato S (ecuación 14), considera que las células consumen sustrato para crecimiento, síntesis de producto y generación de energía, actividades control de pH interno e intercambio de componentes celulares. Al integrar 14 se obtiene 17.
siendo:
Las ecuaciones 18 y 19 se expresan en unidades de (g S/ g X) y (g S / g X.h) respectivamente.
El cultivo de la bacteria B. megaterium proviene de humus de lombriz a partir del aislamiento de colonias e n agar nutritivo, se prepara un inóculo de 0.5 g/L; que equivaleaproximadamente a 1.0 x 108 bacterias/ mL (McFarland, 1907), y se confirma la concentración de unidades formadoras de colonias (UFC) en la escala del Nefelómetro de Mac Farland y en el Espectrofotómetro UV-
Resultados
Se asume que la producción de PHA por Bacillus megaterium depende exclusivamente de la concentración de glucosa. Una vez establecidas las ecuaciones de velocidad para la formación de biomasa, producto y consumo de sustrato, se procedió a resolverlas de manera analítica y gráfica, tomando como base los valores experimentales reportados en el trabajo de (Méndez, 2016). Los resultados de las ecuaciones 12, 13 y 14 se muestran en Tabla 3 y se presentan de forma gráfica en las Figuras 3, 4 y 5:
Tabla 3
Valores calculados para los parámetros de las ecuaciones cinéticas
| Parámetro | Definición | Valor | Unidades |
|
|
|||
| k | Factor de inhibición | 0.084 | h-1 |
| α | Coeficiente de formación del producto asociado al crecimiento celular | 1.033 | g P / g X |
| β | Constante asociada al mantenimiento celular | 0.0625 | g P / g X . h |
| δ | Parámetro asociado a la formación de biomasa y producto | 0.667 | g S / g X |
| η | Parámetro asociado al mantenimiento celular | 0.014 | g S / g X . h |
La Figura 3 muestra un comparativo de datos experimentales y teóricos del modelo propuesto en la ecuación 12, para la cinética de crecimiento de la biomasa X.
Figura 3
Cinética de crecimiento de biomasa X(g/L) vs tiempo(h)
Nota. Elaboración propia (2022)
La Figura 4 muestra gráficamente los datos experimentales y teóricos del modelo propuesto en la ecuación 13, para la velocidad de crecimiento de producto P.
Figura 4
Cinética de concentración de producto P(g/L) vs tiempo(h)
La Figura 5 muestra gráficamente los datos experimentales y teóricos del modelo propuesto en la ecuación 14, para la velocidad de consumo de sustrato S.
Figura 5
Cinética del consumo de sustrato S (g/L) vs tiempo (h)
Para validar los valores simulados en los modelos de solución propuestas, (ecuaciones 12, 13 y 14) se empleó un Análisis de varianza (ANDEVA) considerando un nivel de confianza del 95%; en el caso de la biomasa (X), crecimiento de producto (P) y para el consumo de sustrato (S),se tiene que los valores experimentales F0 =0.0807, F0 =0.09450, F0= 0.0714 respectivamente, que son menores a la Fcrítica= 4.4138 en todos los casos, lo que indica que los datos experimentales y teóricos son estadísticamente iguales.
Discusión y conclusiones
En el mundo contemporáneo la producción de biopolímeros microbianos es una alternativa en auge, siendo éste un producto biodegradable en la etapa final de su ciclo de vida que reduce el impacto al ambiente, aunque algunas cepas productoras del bioplástico son patógenas al ser humano, otras no presentan esta desventaja para llevar trabajos de investigación de este perfil. En la búsqueda de bacterias no transmisoras de enfermedades, pero productoras de biopolímeros se favorece la presencia del Bacillus megaterium, por ser un microorganismo capaz de producir polihidroxibutirato (PHB) a partir de residuos de frutas, además de ser una bacteria ampliamente distribuida en suelo, y también fácilmente recuperable en humus de lombriz roja californiana alimentadas con residuos de frutas.
Los modelos cinéticos desarrollados en función del tiempo permiten evaluar el proceso bioquímico del microrganismo, la producción de metabolitos y la evolución de la energía, y su dependencia de factores controlables como pH, temperatura, concentración, etc.
La base para este trabajo es el estudio sobre la cinética de crecimiento de la bacteria Burkholderia cepacia, que permitió identificar los indicadores de rendimiento y productividad para la producción de biomasa a partir de los modelos matemáticos (ecuaciones 12, 13 y 14); con esta información se obtuvieron los parámetros cinéticos del proceso fermentativo: crecimiento de biomasa, generación de producto y consumo de sustrato.
En la modelación del crecimiento de biomasa X se utiliza el modelo logístico del tipo no estructurado, está expresado en términos de unidades abstractas de vida: población microbiana o biomasa, ignorando completamente la estructura interna de las células que componen dicha biomasa, pues consideran a la población como una unidad homogéneamente distribuida. Aunque los modelos no estructurados representan una gran simplificación del problema real, son útiles para fines tecnológicos, ya que proporcionan ecuaciones sencillas con sentido físico, en las que se trata al microorganismo como una especie reactante simple. El esquema más complicado al que podría responder este tipo de modelos, considera el consumo de sustratos por las células, tanto para crecer como para generar productos, así como los conceptos de respiración endógena y energía de mantenimiento, esto se cumple para el objetivo de este trabajo que propone cuantificar de forma teórica la cantidad de biopolímero que se produce, y en una etapa subsecuente se ensayará con la bacteria B. megaterium.
En el caso del crecimiento de la biomasa X se utiliza el modelo logístico, que presenta la ecuación 12. Este modelo incluye un factor de inhibición k y una constante asociada al crecimiento celular β. La solución del modelo presentado en la ecuación 15, se emplea para encontrar los valores de las constantes en las expresiones de velocidad, asociada a la figura 3, donde se muestra la cinética de formación de biomasa con respecto al tiempo.
Para la formación de producto P se propone el modelo de Leudeking-Piret mostrado en la ecuación 13, donde las constantes α y β están determinadas por el pH de la fermentación, y corresponden al crecimiento asociado y no asociado respectivamente. Esto implica entonces, que el primer término corresponde a la producción proporcional del metabolito con respecto al crecimiento celular; mientras que el segundo término, muestra como todos los microorganismos producen de manera constante una proporción de producto independientemente de la fase de crecimiento (Reynolds, 1996) El seguimiento cinético realizado a la biomasa permite observar una fase de crecimiento exponencial de un máximo de 35 horas de reacción y una fase estacionaria cercana a 72 horas. La ecuación 16, presenta la solución analítica de la ecuación 13, asociada a la figura 4, donde se muestra la cinética de formación de producto con respecto al tiempo.
El consumo de sustrato S presentado en la ecuación 14, toma en cuenta que las células metabolizan la fuente de carbono para su crecimiento, síntesis de producto y generación de energía y de nuevos componentes celulares. La solución de la ecuación 14, se muestra en la ecuación 17, la cual está representada en la Figura 5, donde se muestra la cinética de consumo de sustrato con respecto al tiempo.
Los datos experimentales y los valores teóricos mostrados en los tres casos: desarrollo de biomasa, formación de producto y consumo de sustrato, resultaron ser estadísticamente iguales de acuerdo a un análisis de varianza, lo que implica que la confiabilidad es aceptable para su aplicación en el cálculo de la cinética de reacción biológica bacteriana formadora de productos de interés industrial como sustitutos de plásticos sintéticos.
De acuerdo al análisis llevado a cabo, los modelos propuestos demuestran ser efectivos para establecer la evolución de un proceso donde intervienen organismos microbiológicos en la degradación de un sustrato con la consecuente formación de un biopolímero degradable, por lo que la siguiente etapa es la prueba experimental del procedimiento de biotransformación de nutrientes a PHA’s utilizando un reactor biológico tipo CSTR con capacidad volumétrica de 5 litros operado por lotes al 80% de su capacidad, con una solución de glucosa de concentración 20 g/l y una suspensión bacteriana de Bacilus megaterium aislada de humus de lombriz equivalente a la concentración de la escala 0.5 de Mac Farland (McFarland, 1907).
El conocimiento de cómo se expande la población celular es útil para el diseño de métodos de control del crecimiento microbiano. Un punto relevante es el aumento de la biomasa y la generación de los productos que se pueden obtener. Los procesos biológicos que se llevan a cabo en este proyecto son fundamentalmente químicos, donde intervienen agentes microbiológicos. De tal forma, que un bioproceso de esta índole puede representarse mediante una reacción química estequiométrica. El crecimiento de microrganismos está relacionado con el número de células viables presentes, la cantidad de sustrato y nutrientes limitantes, además de otros factores ambientales como la temperatura, humedad, pH, oxígeno disuelto, etc. En la curva de crecimiento celular se distinguen cuatro fases usualmente denominadas como: adaptación, crecimiento exponencial, estacionaria, muerte logarítmica o endógena (Méndez, 2016).
La cuantificación de microorganismos es un factor fundamental en los proyectos que involucran procesos biológicos, la técnica más utilizada es aquella que considera el recuento en placa de bacterias presentes en una unidad de volumen mediante diluciones seriadas a partir de una muestra inicial para posteriormente sembrar una cantidad estándar con un soporte de vidrio estéril en una placa que contiene medio de cultivo idóneo, e incubar hasta obtener colonias visibles para su conteo, una desventaja del método es que conlleva a un alto consumo de nutrientes, sustrato y reactivos, además del tiempo invertido. Por otro lado, existen métodos visuales y ópticos que permiten cuantificar el número de células previamente aisladas e identificadas, en menor tiempo, tal es el caso del método óptico de la escala de McFarland, donde las suspensiones bacterianas se comparan visualmente con los estándares hasta encontrar al más similar en turbiedad y se relaciona con el número de células de acuerdo a cada estándar [unidad formadora de colonias (UFC)/mL].
Aunado a lo anterior se propone una metodología para comparar la concentración del inóculo de la bacteria Bacillus megaterium, a través de la correlación entre los métodos espectrofotométrico y turbidimétrico, utilizando las soluciones de los tubos de ensaye de las concentraciones de la escala de McFarland. Se prepara una serie de diez tubos con una disolución de precipitado fino de sulfato de bario obtenidos al mezclar cloruro de bario dihidratado de concentración 0.048M con sulfato de sodio 0.18M, en proporciones diferentes, que se asemeja a suspensiones bacterianas que se comparan instrumentalmente con los estándares para correlacionar con el número de células, usando un espectrofotómetro UV-vis de doble haz marca Varian modelo Cary 300 Scan a una longitud de onda de 600 nanómetros (nm).
En conclusión, la producción de biomasa en una reacción biológica tiende a ser exponencial hasta un determinado tiempo, lo cual depende de la cantidad de sustrato, tipos y concentración de nutrientes y parámetros de desarrollo. Se plantea la estequiometria de la reacción bioquímica para determinar la producción de PHB, mediante el proceso metabólico óptimo de la bacteria Bacillus megaterium. La propuesta plantea la aplicación de modelos matemáticos de la cinética de reacción para analizar el proceso de formación del PHB, los rendimientos de biomasa y producto, desde los puntos de vista ideal y teórico. El cálculo del sustrato limitante depende del microorganismo seleccionado y el metabolismo que lo caracteriza. Los modelos de simulación propuestos pueden determinar los valores de rendimiento real de biomasa respecto al sustrato (Yx/s), de rendimiento real de producto respecto al sustrato (Yp/s), y de la estequiometria para la producción de PHA; además describen adecuadamente la evolución del proceso. Cabe señalar que con la información disponible solo se puede estimar el rango de la energía para mantenimiento celular ya que no se dispone de información exacta teórica ni real del coeficiente de mantenimiento celular (ke)
Este trabajo explora alternativas biotecnológicas sustentables de sustitución de polímeros sintéticos. La propuesta ofrece la ventaja de un modelo cinético de crecimiento bacteriano para la generación sustentable del biopolímero PHB a partir de un residuo empleado como sustrato, en este caso cáscaras de frutas, para generar un producto biodegradable.
La bacteria Bacillus megaterium será aislada de humus de lombriz Roja californiana (Eisenia foetida) alimentada con residuos frutales lo cual le brindará valor agregado al trabajo, toda vez que con esta condición cumple con un modelo de producción y consumo sostenible, en el que la materia prima se centra en el aprovechamiento de residuos y forma parte de los ciclos productivos con insumos que pueden aprovecharse de forma recurrente y con ello minimizar la generación de residuos, también se propone una metodología para cuantificar la concentración del inóculo de la bacteria Bacillus megaterium para la preparación de la suspensión bacteriana que será inoculada al reactor biológico en escala laboratorio. Para conocer la concentración celular del inóculo se utiliza la espectrofotometría UV-vis, esto es avalado por los datos de los coeficientes de porcentaje de correlación (R2). Esta propuesta permite calcular la densidad bacteriana en el inicio del proceso y también durante los intervalos de muestreo para conocer el avance de la reacción y desarrollo de las bacterias con respecto al sustrato, nutrientes y condiciones ambientales.
La energía que los microrganismos absorben de su entorno se transforma en energía química la cual se convierte después para realizar el trabajo químico que tiene que ver con la biosíntesis de los organelos celulares, el trabajo osmótico necesario para el transporte de los materiales al interior de la célula (como sucede en el la síntesis de PHB), o el trabajo mecánico de la contracción o de la locomoción; así como en la generación de nuevas células.
Lo anterior corrobora que la biotransformación que se lleva a cabo para la generación del producto, depende del tipo de metabolismo que desarrolla cada microorganismo, de las condiciones ambientales físicas y químicas, del tipo de sustrato y de la secuencia metodológica que se aplique.
El trabajo contribuye a crear un ambiente ecosostenible con enfoque tecnológico al servicio de las personas y el bienestar del planeta, para recuperar la armonía con la naturaleza y con recursos comunes, donde los residuos son aprovechados para generar producto amigables con el medio ambiente como los bioplásticos bacterianos, en sustitución de aquellos que resultan contaminantes como los plásticos sintéticos derivados del petróleo.
Referencias
Metcalf & Eddy. (2005). Wastewater Treatment Engineering. (4th Ed.). Mc Graw Hill.
Almudena, A. M., García-Ochoa, S. F., & Santos, V. E. (1999). Desarrollo de modelos cinético. Universidad Complutense de Madrid.
Anderson, A. (1990). Occurrence, metabolism, metabolíc role and industrial uses of Bacterial Polyhydroxyalkanoates. Revista Microbiol, 54, 451-472.
Bailey, J. E. (1986). Biochemical Engineering Fundamentals. (2th Ed.). Mc Graw Hill Inc..
Daigger, G. & Grady L. (1982). An assessment of the role of physiological adaptation in the transient response of bacterial cultures, Biotechnology & Applied Microbiology, 24(6), 1427-1444.
Dawes, E. (1973). The role and regulation of energy reserve polymers in microorganisms. Adv.Microbiol. Physiol, 14, 135-266.
Dias, J.M.L., Serafim, L.S., Lemos, P.C., Reis, M.A.M., & Oliveira, R. (2005). Mathematical modelling of a mixed culture cultivation process for the production of polyhydroxybutyrate. Biotechnol Bioeng, 20(2), 209-22. https://doi.org/10.1002/bit.20598
González G. Y., Meza C. J.C., Orfil González R.O., & Córdova L. J.A., (2013). Síntesis. Revista internacional de contaminación ambiental, 29 (1), 77-115.
Holt, J. G. (1994). Bergey's manual of determinative bacteriology. Lippincott Williams & Wilkins.
Katırcıoǧlu H., e. a. (2003). Production of poly‐beta‐hydroxybutyrate (PHB) and differentiation of putative Bacillus mutant strains by SDS‐PAGE of total cell protein. African J Biotechnol 2, 147-149.
Khalseh, R. (2016). Evaluation of different kinetics for bioethanol production with emphasis to anlaytical solution of substrate equation. Theoretical Foundations of Chemical Engineering, 50(4), 392-397.
Kim D., e. a. (2007). Biosynthesis, modification, and biodegradation of bacterial medium-chain-length polyhydroxyalkanoates. The Journal of Microbiology, 87-97.
Lemos P., e. a. (2006). Synthesis of polyhydroxyalkanoates from different short‐chain fatty acids by mixed cultures submitted to aerobic dynamic feeding. Journal of Biotechnology, 122(2), 226-238.
McFarland, J. (1907). The nephelometer: an instrument for estimating the numbers of bacteria in suspensions used for calculating the opsonic index and for vaccines. J. Am. Med. Assoc. 49, 1176-1178.
Méndez, D. (2016). Modelamiento matemático y optimización del proceso de producción de polihidroxialcanoatos empleando la bacteria Burkholderia cepacia B27 a partir de ácidos grasos. Universidad Nacional de Colombia.
Narsing Rao, M. P., Dong, Z-Y., Liu, G.H., Xiao, M., & Li, W. L..(2019). Reclassification of Bacillus aryabhattai Shivaji et al. 2009 as a later heterotypic synonym of Bacillus megaterium de Bary 1884 (Approved Lists 1980). FEMS Microbiology Lett, 366(22). https://doi.org/10.1093/femsle/fnz258
Ostle, A. (1982). Ostle A. y HoltNile Blue as a fluorescent stain for poly-B-hydroxybutyrate. Appl. Env. Microbiol. 44, 238-24l.
Reynolds, T. (1996). Unit Operations and Processes in Environmental Engineering. CENGAGE Learning.
Slepecky, R. (1961). Synthesis and degradation of poly-B-hydroxybutyric acid in connection with sporulation of Bacillus megaterium. J. Bacteriol, 82, 37-42.
Smibert, R. (1981). Manual of methods for general microbiology. American Society for Microbiology.
Suriyamongkol P., e. a. (2007). Biotechnological approaches for the production of polyhydroxyalkanoates in microorganisms and plants. A review. National Library of Medicine, 168-175.
Vary, P. (1992). Development of genetic engineering in Bacillus megaterium. In R.H. Doi & M. McGloughin. Biology of Bacilli Applications to Industry. Butterworth-Heinemann.
Verlinden R.A.J., Hill D.J., Kenward M.A., Williams C.D., Radecka I. (2007). Bacterial synthesis of biodegradable polyhydroxyalkanoates. Journal of Applied Microbiology. 102(6), 1437–1449.